Bienvenue sur le site de Dermyal: Le filler à l'Acide hyaluronique de dernière génération
Qu'est ce que l'Acide Hyaluronique ?
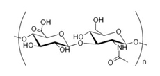
L'acide hyaluronique est un glycoaminoglycane. Son nom vient d'une part du grec "hyalos" (vitreux) en référence au corps vitreux ou il a été découvert, et d'autre part de "uronique" car il possède un haut taux d'acide uronique.
C'est l'un des principaux composants de la matrice extracellulaire du tissu conjonctif. L'acide hyaluronique est un polymère disaccharidique composé d'acide D-glucuronique, d'acide D-N glucuronique et de D-N acetylglucosamine liés entre eux par des liaisons glycosidiques.
Découvert en 1954 par Karl Meyer et John Palmer, l'acide hyaluronique - aussi appellé hyaluronane - est un polymère extrêmement long de structure chimique linéaire et uniforme, ubiquitaire et sans spécificité d'espèce ou d'organe.
En condition physiologique il se trouve sous la forme d'un sel sodique - le hyaluronate de sodium. Le hyaluronane, dit natif dans les tissus, a un poids moléculaire de 2,5 millions à 10 millions de Daltons. Dans le derme il a un poids moléculaire moyen de 2,5 million Daltons et est synthetisé par les fibroblastes.
L'acide hyaluronique est en grande partie responsable de la viscosité du tissu conjonctif du derme. Il est principalement obtenu, de façon industrielle, par deux procédés différents :
- 1. Extraction de crêtes de coq, après broyage, traitement chimique et purification.
- 2. Fermentation bactérienne : les filaments d'acide hyaluronique sont synthétisés par des bactéries génétiquement modifiées. Streptococcus equi.
L'acide hyaluronique est indispensable pour l'hydratation & l'aspect esthétique de la peau. C'est une molécule hygroscopique aux propriétés volumatrices. Avec les années, l'acide hyaluronique s'apauvrit et la peau pert de sa tonicité.
L'acide hyaluronique Dermyal® restitue l'hydratation et l'élasticité de la peau.
Il ne nécessite aucun test préalable et peut être injecté dès la première consultation.
Dermyal® permet le comblement des rides ainsi que le remodelage des volumes du visage.
Dermyal® est constitué d'acide hyaluronique obtenu par fermentation bactérienne, de haut poids moléculaire (2 à 3 millions Daltons) et réticulé en plusieures étapes au BDDE (butanediol diglycidyl ether).
Dermyal® est un gel homogène & monophasique. Déjà injectés, sur des centaines de milliers de patients, les produits de comblement à base d'acide hyaluronique monophasique engendrent peu d'évènements indésirables et/ou d'effets secondaires.
Dermyal® est une valeur sûre.
À propos de Dermyal®
Dermyal® est un acide hyaluronique de type monophasique, de haut poids moléculaire, réticulé au BDDE (butanediol diglycidyl ether).
Déja distribué dans plus de 50 pays, Dermyal® existe sous 5 formulations différentes qui permettent d'effacer tous types de rides et de restaurer pleinement les volumes et contours du visage:
Dermyal18 :
18 mg/ml de NaHA réticulé - Derme superficiel.
Dermyal24R :
24 mg/ml de NaHA réticulé - Derme moyen.
Dermyal32HR :
28 mg/ml de NaHA fortement réticulé.
Derme moyen / profond.
ectoDermyal (mésothérapie).
DermyalDL (Deep Layer = Couche Profonde).
Nos Partenaires :
Praticien



